このサイトはお使いのブラウザでは正常に動作しません。Google Chromeなど、別のブラウザを使用してください。
正弦定理
bを正弦定理で求めると2通り出てきますが、どのように絞るのでしょうか?


回答
b?Bですか?
bなら「三角不等式を満たすかどうか」でどちらを取るか決めることが多いです。
Bなら「和が180°をこえないか」、また3辺がわかっているなら「鋭角三角形なのか鈍角三角形なのか」の判定で決めたりします。
質問の際は、なるべくならあなたの答案を一緒に見せてください。そのほうが的確なアドバイスができますので。
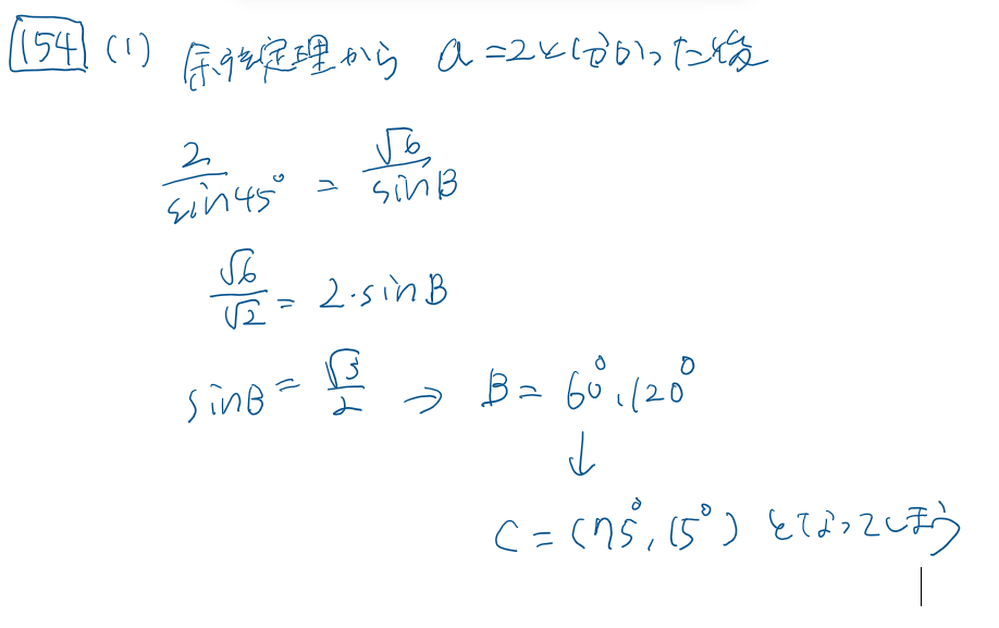
失礼しました。 自分が考えたのを写真に追加しました。
写真、拝見。 質問の中味がよくわかりました。 「三角形の辺の長さの大小は対角の大小と一致する」というのはご存じですか? たとえば https://www.try-it.jp/chapters-5130/sections-5160/lessons-5161/ これを使って、a,b,cではbが最大とわかりますのでBは120°と決まります。 B=60°だとCが最大になってしまい、角の大小と辺の大小が一致しなくなりますから。 これで大丈夫ですか?
なるほど。それをつかうのですか... 完全に頭から抜けていました。ありがとうございます。