このサイトはお使いのブラウザでは正常に動作しません。Google Chromeなど、別のブラウザを使用してください。
積分 別解の解釈
こんばんは!積分についてご質問させてください。
問題(2)について、条件を満たす「aの値は複数存在するが、対応するf(x)はただ一つに定まる」という答えの導き出し方が解答で2種類提示されていました。
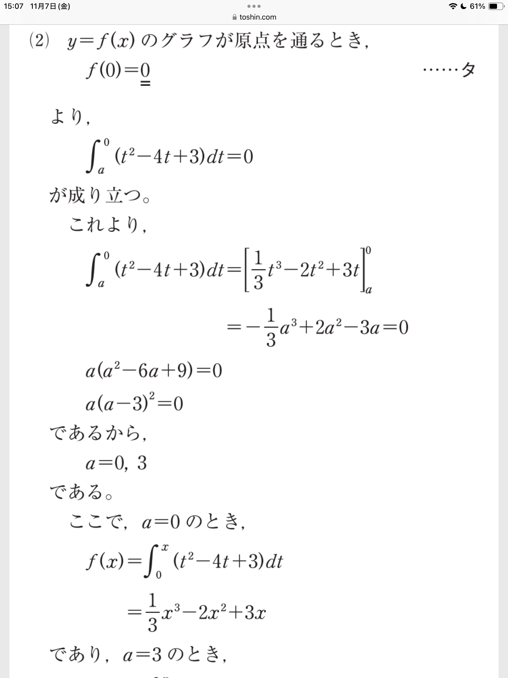
その方法は、添付画像のようにa=0,3を求めた後に
① a=0,3をそれぞれ代入して積分計算し、出てくるf(x)が一致することを確かめる もしくは
② (0から3の積分値)=0 からa=0,3 におけるf(x)が一致するといえる ※添付画像(スクリーンショット)の(注)に書かれている内容です
というものです。この②の理由が分からず困っています……
解説いただけると嬉しいです。よろしくお願いします!
ーーーーー
追記
「aの条件式」は(2)2行目の積分のことだと解釈していたのですが、自信がないので問題文全体と解答を写した写真を追加しました。問題文は(1)、(2)の2ページです。よろしくお願いします🙇
ーーーーー
追記2
問題文の写真を整理して、解説の画像全体を追加しました。





回答
Maru Masa さん、こんにちは。回答が遅くなってゴメンなさい。
3枚目の写真の「aの条件式」とありますが、それは写真のもっと上の方に書いてあるのかな?
「aの条件式」が見たいので、写真の追加できますか?
(追記: 2025年11月11日9:36)
うわ~ゴメンナサイ!あなたが更新してくれていたのを見逃していました。回答が遅れて申し訳ない!
全体の写真を拝見しました。
a=3が当てはまることより $\int_3^0=0$ すなわち $\int_0^3 =0$ です。
このとき $\int_0^x=\int_0^3 +\int_3^x=0+\int_3^x$ となり、
$\int_0^x=\int_3^x$ が常に(任意のxについて)成り立つことが分かりますので、
2つの関数 $\int_0^x$ と $\int_3^x$ は同じ関数だと結論できると言っています。
これでどうでしょうか?
くさぼうぼうさん、こんにちは。 aの条件式がどれを指すのか自信がなかったので、問題文全体と、(2)の解答の画像を追加しました。 前回は整数の問題を教えてくださりありがとうございました。今回もよろしくお願いします。
あ、質問された写真がなくなってます!もういちど見せてください。あと、最後の写真から質問の部分までの間も見せてくれますか?質問するときは、なるべくたくさんの情報を下さい(笑)!
すみません!写真の枚数がオーバーしたので入れ替えていたら、間違って消してしまったみたいです。。 問題文と解説全体の画像を改めて追加しました。よろしくお願いします!
遅れてゴメンナサイ。追記しましたので読んでください。
その(注)は別な解法というより、なぜ同じになるかの説明だと思います。
そのことに気がつけば、2回も積分を計算しなくてもすむということですが、こんなことを考えつくより、大した計算ではないのでやっちゃったほうがいいですね(笑)。
くさぼうぼう さん 理解できました。aの条件式をうまく利用すると、積分形のままでも同じ関数だと確かめられるのですね…! 分かりやすく教えてくださりありがとうございます🙇♀️
返事が遅れてもうしわけない!またどうぞ。